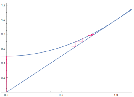
Precis som i föreläsningen kan man argumentera för att talföljden måste konvergera mot ett $x$-värde för vilket kurvorna $y=\dfrac12 (1+x^2)$ och $y=x$ skär varandra. Vi får\[\frac12 (1+x^2)=x\Leftrightarrow (x-1)^2=0\Leftrightarrow x=1.\]Följden konvergerar alltså mot $1$.
Precis som i föreläsningen kan man argumentera för att talföljden måste konvergera mot ett $x$-värde för vilket kurvorna $y=\dfrac12 (1+x^2)$ och $y=x$ skär varandra. Vi får\[\frac12 (1+x^2)=x\Leftrightarrow (x-1)^2=0\Leftrightarrow x=1.\]Följden konvergerar alltså mot $1$.